【摘要】 BET吸附模型的基本假设为: 1) 吸附位在热力学和动力学意义上是均一的(吸附剂表面性质均匀),吸附热与表面覆盖度无关; 2) 吸附分子间无相互作用,没有横向相互作用; 3) 吸附可以是多分子层的,且不一定完全铺满单层后再铺其它层。 4) 第一层吸附是气体分子与固体表面直接作用,其吸附热(E1)与以后各层吸附热不同;而第二层以后各层则是相同气体分子间的相互作用,各层吸附热都相同,为吸附质的液化热(EL).
1. 什么是BET测试
A. BET吸附模型的基本假设为:
1) 吸附位在热力学和动力学意义上是均一的(吸附剂表面性质均匀),吸附热与表面覆
盖度无关;
2) 吸附分子间无相互作用,没有横向相互作用;
3) 吸附可以是多分子层的,且不一定完全铺满单层后再铺其它层。
4) 第一层吸附是气体分子与固体表面直接作用,其吸附热(E1)与以后各层吸附热不同;而第二层以后各层则是相同气体分子间的相互作用,各层吸附热都相同,为吸附质的液化热(EL)。
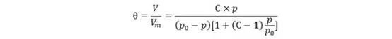
B. BET方程(这里只介绍二常数BET公式):

公式中,V表示吸附量,p为气体吸附平衡压力,P0为气体在吸附温度下的饱和蒸气压。两常数Vm代表固体表面铺满单分子层时的吸附量,C是与吸附热E1和EL有关的常数。
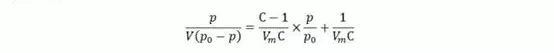
公式变形

如果以p/V(P0-P)对P/P0作图可以得到一条直线,直线的斜率为C-1/VmC,截距为1/VmC,由此可以求出常数Vm和C。
C. BET公式的使用范围:
通常情况下,BET公式只适用于处理相对压力(p/p0)约为0.05~0.35之间的吸附数据。这是因为BET理论的多层物理吸附模型限制所致。当相对压力小于0.05时,不能形成多层物理吸附,甚至连单分子物理吸附层也远未建立,表面的不均匀性就显得突出;而当相对压力大于0.35时,毛细凝聚现象的出现又破坏了多层物理吸附。
2. 测试前需要确定的条件,脱气温度和时间,用量,吸附气体
A. 如何选择样品的脱气温度?
系统温度越高,分子扩散运动越快,因此脱气效果越好。通常仪器配备的脱气站加热温度可达 400 ℃,但是选择脱气温度的首要原则是不破坏样品结构。
一般来说,氧化铝、二氧化硅这一类氧化物的安全脱气温度可达 350 ℃;大部分碳材料和碳酸钙的安全脱气温度在 300 ℃左右;而水合物则需要低得多的脱气温度。对于有机化合物,也可以通过脱气站进行预处理,但是大部分有机化合物的软化温度和玻璃化温度较低,因此必须提前加以确认。例如在医药领域常用的硬脂酸镁,美国药典(USP)规定的脱气温度为 40 ℃。
如果脱气温度设置过高,会导致样品结构的不可逆变化,例如烧结会降低样品的比表面积,分解会提高样品的比表面积。 但是如果为了保险,脱气温度设置过低,就可能使样品表面处理不完全,导致分析结果偏小。因此在不确定脱气温度的情况下,建议使用化学手册,如theHandbookofChemistryandPhysics(CRC,BocaRaton,Florida),以及各标准组织发布的标准方法,如 ASTM,作为相关参考。
脱气温度的选择不能高于固体的熔点或玻璃的相变点, 建议不要超过熔点温度的一半。当然,如果条件许可,使用热分析仪能够最精确地得到适合的脱气温度。一般而言,脱气温度应当是热重曲线上平台段的温度。
B. 如何确定样品的脱气时间?
与脱气温度对应的是脱气时间。脱气时间越长,样品预处理效果越好。
脱气时间的选择与样品孔道的复杂程度有关。一般来说,孔道越复杂,微孔含量越高,脱气时间越长;选择的脱气温度越低,样品所需要的脱气时间也就越长。
可以通过在相同脱气温度下,分析样品的 BET 结果变化来确定脱气时间。如果在不同的脱气时间(2 小时,4 小时和 6 小时)得到的 BET 结果相同,肯定选择脱气时间最短的;如果变化不大,则需要选择折衷的方案;如果 BET 结果随脱气时间延长不断变大,说明孔道复杂,深层次有因氢键结合的吸附水分子,暴露了被堵塞的孔道及面积。对于一般样品,IUPAC 推荐脱气时间不少于 6 小时,而那些需要低温脱气的样品则需要长得多的脱气时间。对一些微孔样品,脱气时间甚至需要在 12 小时以上。但是作为特例,美国药典(USP)规定硬脂酸镁的脱气时间就仅为 2 小时。
由于脱气温度、脱气时间以及脱气真空度都与比表面积值有关,所以 BET 结果存在误差是不可避免的。所以,测样时需要固定样品处理条件进行相对比较。与文献值比较时,也要注意文献上的样品预处理和分析条件。
C. 为什么要称量样品质量(称重)?称样量多大为好?
比表面积是单位质量的表面积,所以必须在脱气后和分析前对样品管中的样品用减重法进行称重计量。
对于氮气吸附测定,我们要考虑样品在样品管中的总表面积,也就是比表面积 X 样品质量。样品量以总表面积达到5~200m2之间为好。用天平计量出来的是质量,不是重量。为方便说明,此处混用这两个概念。测试前应对仪器精度(可测量的最小总表面积)及样品的表面积有个大概的估计,以确定所需样品量。小于仪器精度,测试结果相对误差则较大。当样品有很高的比表面积时,称样量较少,这时称量过程可能带来较大的误差。称样量的判断原则是:
1)尽量减少天平的称重误差;
2)样品管中的样品要有足够的吸附量,其引起的压力变化应远大于压力平衡所允许的公差(Tolerence);
3)样品管中的样品吸附量也不能过大,否则吸附平衡时间太长,导致实验时间过长;
4)如果仅需要比表面积测量,则称样量应使样品管中的总表面至少在1-5m2 间;
5)如果是测定吸脱附等温线,在样品管中的总表面积应至少为15-20m2。
对于氮气吸附,有关称重的经验如下:
- 尽可能称重到100mg以上,以减少称重误差
- 如果比表面大于1000: 称重0.05-0.08g
- 如果比表面大于10,小于1000: 称重0.1-0.5g
- 如果比表面小于1: 称重需要在1g以上,甚至到5g以上
为确保测量精度,分析后应重新称量样品的质量。如果分析后的质量不等于脱气后、分析前的初始质量,应采用分析后的质量进行重新计算。




3. 孔径分析







4. 影响因素
BET 比表面积是物理吸附分析仪所能计算的参数中最容易得到的一个,因为它的基础计算数据是取自吸附等温线多层吸附的饱和阶段,也是等温线最平缓的一段。但是,其最终结果受到诸多因素影响,这就造成了在不同仪器和不同实验室数据比对时的误差,误差的来源包括如下原因:
1) 与样品孔结构的复杂程度有关:孔型越简单,结果越容易重现;
2) 与测试仪器的类型有关:一般来说,静态容量法测得结果比动态色谱法测得的结果更加准确,这是由于前者测得的是吸附数据,后者得到的是脱附数据。若样品中存在不规则的孔,氮气分子进入孔道后,脱附时,由于出口孔颈很小,就有可能因气穴效应或孔道阻塞不能蒸发出来,造成脱附的数据失真。
3) 与吸附气体种类有关:对于含微孔样品,不同的气体大小不同,在孔道中扩散速度不同,气体分子的极性与孔壁作用的程度不同,都会影响最终计算的准确性。
4) 与样品预处理时间有关:以氢氧化镍为例,它的处理时间至少需要 8 小时,由于其干燥过程容易板结,故处理温度不宜过高(一般 90 度),这样就导致处理温度不够,需要加长脱气时间来弥补。
5) 与预处理的脱气真空度有关:真空度越大,脱气越干净,时间越短。样品表面处理不干净,会造成测试结果偏小。
6) 与称样量多少有关:样品量的多少和他自身的比表面的大小有关的,一般比表面越大,称样量越少,反之越多。选择合适的称样量是很有必要的,这其中既要考虑减少称样误差,还要考虑称样量和脱气时间的关系。
7) 与样品的处理温度有关:以氧化铝为例,它的处理温度一般是 300°C。若降低其处理温度,容易造成测试结果偏小,且 BET 测试曲线线性很差。
8) 与在吸附曲线上的取点计算范围有关。
本文内容整理自《物理吸附100问》及康塔仪器培训





您已经拒绝加入团体

