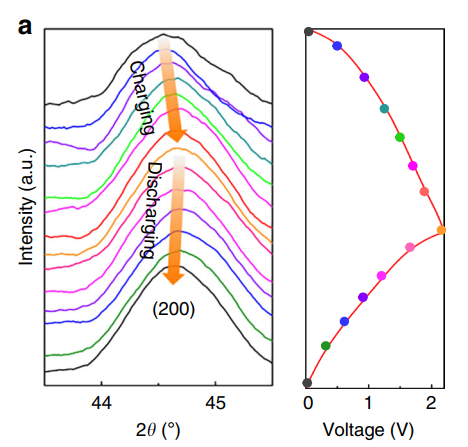
【摘要】 目前电化学原位XRD测试已经涵盖锂/钠/钾/锌离子电池、锂硫电池以及超级电容器等方向;原位Raman可以测试水系电池以及电催化三电极体系。
电化学只有常规性能检测?
想不想让自己的文章脱颖而出?
如何让自己的文章使审稿人眼前一亮?
深度剖析充放电过程中物相转变
电池领域高端测试原位(电化学)XRD/Raman了解一下!
目前电化学原位XRD测试已经涵盖锂/钠/钾/锌离子电池、锂硫电池以及超级电容器等方向;原位Raman可以测试水系电池以及电催化三电极体系。
同时科学指南针实验室有ZahnerPP211、普林斯顿VersaSTAT 4、Bio-LogicSP150、CHI760E等多台电化学工作站,可满足包括锂/钠/钾离子电池、超级电容器、光/电催化以及电化学腐蚀等常规性能测试需求。
应广大针粉的测试需求,科学指南针将于7月13日-7月25日开展为期13天的电化学测试专场,具体规则如下:
活动时间
2021年7月13日—7月25日
活动福利

活动规则
1.此次活动仅限高校、企业、个人等各类科学指南针目标客户群体参加。
2.此次活动仅限前500名用户参加,名额有限,先到先得。
3.本次活动同一用户(同一科学指南针账号、身份证、实名认证、终端设备、手机号等均视为同一用户条件)限参与一次。
4.活动最终解释权归科学指南针服务平台所有。
5.每次下单仅可选择使用一张优惠券。
参与方式
了解更多详情添加“科学指南针-李老师”微信

热门测试项目介绍
a. 锂/钠/钾离子电池、锂硫电池
测试项目包括恒流充放电、倍率性能、循环性能、循环伏安(CV)、交流阻抗(EIS)及电化学原位XRD。我们还提供离子迁移能垒,离子溶剂化层,配位数等模拟计算服务。




b. 超级电容器
可测试两电极或三电极体系,测试项目包括GCD、循环性能、CV、EIS及电化学原位XRD(两电极)。


c. 光电测试
样品可滴涂、旋涂在ITO/FTO上,常规测试项目包括光电流-时间曲线、EIS、莫特-肖特基曲线(Mott-Schottky-Plots)等。我们可以对材料进行常见的载流子迁移率,电子有效质量等计算。同时我们拥有专业的半导体材料研究团队,可以进行计算方案的设计与计算,计算对象有发光二级管、激光器、功率器件、探测器、太阳能电池等。

d. 电催化(ORR/OER/HER)测试
测试项目包括普通CV/LSV测试、旋转圆盘/旋转环盘电极(RDE/RRDE)-CV/LSV测试、EIS、稳定性测试、燃料电池-单电池测试等。此处还提供针对上述过程的DFT计算模拟服务。





e. 电化学腐蚀
块状样品使用镶嵌粉封装,粉末样品涂敷在玻碳电极上,常规测试项目包括开路电位-时间曲线、塔菲尔曲线(Tafel)、EIS等。我们还提供对于阻垢剂缓蚀剂等物质的分子动力学研究服务。

另外,也提供电化学数据分析服务,包括赝电容贡献率、GITT计算、EIS拟合等。
参与
扫码添加李老师微信
回复关键词「电化学专场」领取活动福利及优惠券






您已经拒绝加入团体

